Soalan Matematik Tambahan Spm Dan Jawapan

Soalan matematik tambahan spm, soalan matematik tambahan spm, soalan matematik tambahan tingkatan 4, soalan matematik, soalan matematik ptd, soalan matematik spa, soalan matematik pra, soalan matematik pt3, soalan matematik spm, soalan matematik upsr, soalan matematik prasekolah, soalan matematik tahun 2, soalan matematik darjah 1, soalan matematik darjah 2, soalan matematik darjah 3,


Dunia Pendidikan: Teknik Menjawab Kertas 2 Fizik Spm via cikguesmandi.blogspot.com
Dunia Pendidikan: Teknik Menjawab Kertas 2 Fizik SPM

Matematik Tambahan: Index Dan Log (sam) via www.slideshare.net
Matematik Tambahan: Index dan Log (sam)

Soalan Percubaan Spm 2017 Matematik Tambahan Negeri Kedah via www.sistemguruonline.my
Soalan Percubaan SPM 2017 Matematik Tambahan Negeri Kedah

Soalan Percubaan Spm 2017 Matematik Tambahan Negeri Pulau via www.sistemguruonline.my
Soalan Percubaan SPM 2017 Matematik Tambahan Negeri Pulau

Bagi Yang Kata Soalan Spm Sejarah Susah, Guru Ini Bagi via www.remaja.my
Bagi Yang Kata Soalan SPM Sejarah Susah, Guru Ini Bagi

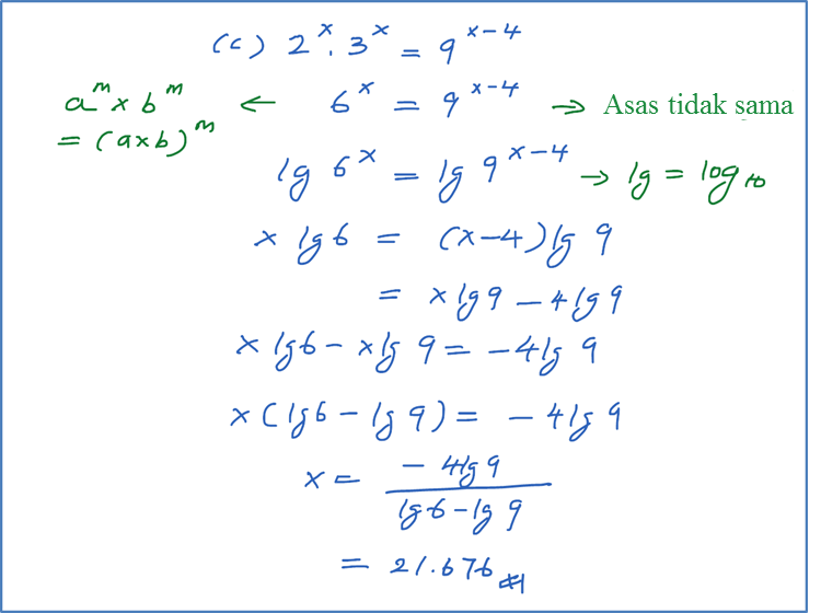
5.3 Persamaan Yang Melibatkan Indeks (contoh Soalan via spmmatematiktambahan.blog.onlinetuition.com.my
5.3 Persamaan yang Melibatkan Indeks (Contoh Soalan

Unit Matematik: Format Kertas Matematik Tambahan Spm via unitmatsmkrmm.blogspot.com
UNIT MATEMATIK: FORMAT KERTAS MATEMATIK TAMBAHAN SPM

Soalan Dan Jawapan Kimia Tingkatan 4 - Selangor H via selangorh.blogspot.com
Soalan Dan Jawapan Kimia Tingkatan 4 - Selangor h

Blog Matematik: Program Peningkatan Prestasi via mathsmkb.blogspot.com
Blog Matematik: Program Peningkatan Prestasi

(18) Kebarangkalian (probability I, Ii) ! Chegu Zam via cheguzam.blogspot.com
(18) Kebarangkalian (Probability I, II)  ! Chegu Zam

Download Koleksi Soalan Percubaan Spm 2018 & Skema Jawapan via www.pendidikanmalaysia.com
Download Koleksi Soalan Percubaan SPM 2018 & Skema Jawapan

Jadual Waktu Peperiksaan Spm 2019 Exam Date - Permohonan.my via www.permohonan.my
Jadual Waktu Peperiksaan SPM 2019 Exam Date - Permohonan.my

Dapatkan Soalan Latihan Matematik Tahun 4 Pecahan Yang via pekeliling.com
Dapatkan soalan Latihan Matematik Tahun 4 Pecahan Yang

Demonstrasi Kebakaran Dan Aktiviti Pengurusan Jenazah via mmpyik.wordpress.com
DEMONSTRASI KEBAKARAN DAN AKTIVITI PENGURUSAN JENAZAH

Cikgu Azman - Bukit Jalil: Kebarangkalian Matematik via cikguazmanbukitjalil.blogspot.com
Cikgu Azman - Bukit Jalil: Kebarangkalian Matematik

L I N G U I S T I C S: May 2013 via maknasuci.blogspot.com
L I N G U I S T I C S: May 2013

Mohon Digital Maker Hub Untuk Sekolah Anda Sekarang via www.sistemguruonline.my
Mohon Digital Maker Hub untuk sekolah anda sekarang

Kepentingan Ilmu Pada Era Globalisasi Ini via es.scribd.com
Kepentingan Ilmu pada era globalisasi ini

Nostalgia via www.smkpanjialam.net
NOSTALGIA


Random Image



Related Posts To Soalan Matematik Tambahan Spm Dan Jawapan


Soalan Matematik Tambahan Spm Dan Jawapan Rating: 4.5 Posted by: imayunix

Search Here

Popular Posts

Total Pageviews

Recent Posts

Partners